珠祥算命网
弘扬传统文化,破除封建迷信
倡导科学理念,促进社会和谐
马

午年生人,其性好动不好静,多喜出风头,而对社会交际极为巧妙,且多管他人事,备受人敬爱,并有贵人牵引以至成功,此人欲好外观,对内事缺乏观察

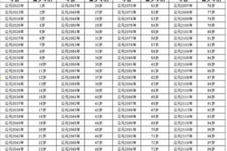
属马的人出生年份表
出生年份 2014年 2002年 1990年 1978年 1966年 1954年 1942年 1930年
今年几岁 12岁 24岁 36岁 48岁 60岁 72岁 84岁 96岁
属马人三合生肖
属马人相冲生肖

最新文章

2025年12月
02
农历 十月十三
乙巳年【蛇年】
丁亥月 乙巳日

最新更新

2020年二月十八日出生的女孩起什么名字好,吉利好名字的起名大全姓名

起名打分100分的女孩名字推荐,女孩起名有啥技巧?姓名

2022年十五日辰时出生的虎宝宝起名字有内涵够独特姓名

2022年元宵节出生的宝宝五行缺什么,适合取什么名字?姓名

2022年十四日未时出生的属虎孩子生僻名字推荐姓名

虎宝宝取名男孩姓李,2022年宝宝取名大全!姓名

2019年11月15号未时出生的男孩怎么起名字比较好听姓名

2019年腊八出生的男孩八字缺木名字推荐,腊八有哪些习俗?姓名

属兔卯时出生的男孩取名宜用什么字姓名

八字算命
八字合婚
八字取名
民间算命

指纹算命

手相查询

痣相图解

生男生女

眼皮跳测吉凶

喷嚏预测

占卜抽签
快速算命
配对
配对
配对
配对
查询
生日密码